Hat Vector Math

Unit Vector Definition Formula Example And Solved Problem

Unit Vector Definition Formula Example And Solved Problem

Physics Advance E M Ch 1 Math Concepts 35 Of 55 Spherical Unit Vector Conversions Youtube

Physics Advance E M Ch 1 Math Concepts 35 Of 55 Spherical Unit Vector Conversions Youtube

Unit Vectors Intro Video Vectors Khan Academy

Unit Vectors Intro Video Vectors Khan Academy

Unit Vector Notation Video Khan Academy

Unit Vector Notation Video Khan Academy

Unit Vector Explanation And Examples

Unit Vector Explanation And Examples

How To Type A Particular Kind Of Unit Vector Tex Latex Stack Exchange

How To Type A Particular Kind Of Unit Vector Tex Latex Stack Exchange

How To Type A Particular Kind Of Unit Vector Tex Latex Stack Exchange

Nullzeile Lineare Abhängigkeit.

Hat vector math. Vektoren werden meistens mit einem Kleinbuchstaben mit einem Pfeil darüber benannt. Also the hat symbol is used in languages. Wie die betreffende Verschiebung hat.

This video briefly explains what Vectors are and how they can be used in a game Support my videos on Patreon. Vectors and Vector Math A v defines a magnitude and direction in n -dimensional space. Typische Vektorennamen sind also.

In latex the hat symbol is used separately in both text and math modes. Hättet ihr das LGS mit einem anderem Verfahren aufgelöst wäre eine wahre Aussage wie zB. Ich heiße Andreas Schneider wurde 1989 in München geboren und lebte bis Sommer 2013 in Erding.

Hat mathbf p hat bm p Which method you should use depends on whether you. 11 Other Styles math mode only Caligraphic letters. Definition of a vector.

Hat is a mathematical notation used in various branches of mathematics and science. If you want just the letter p to be rendered in bold while the hat symbol should be rendered in normal weight you could use either one of the following methods. The direction of the vector is from its tail to its head.

00 rausgekommen was das gleiche bedeutet. Where H XXT X 1XT is an n nmatrix which puts the hat on y and is therefore referred to as the hat matrix. Its also worth noting that the hat to denote Fourier transforms is seldom used outside mathematics.

Unit Vector Formula Definition Equations And Examples

Unit Vector Formula Definition Equations And Examples

What Are The Types Of Unit Vectors Quora

What Are The Types Of Unit Vectors Quora

Find A Unit Vector Perpendicular To Both The Vector Vec A 2 Hat I Hat J 2 Hat K Youtube

Find A Unit Vector Perpendicular To Both The Vector Vec A 2 Hat I Hat J 2 Hat K Youtube

How To Type A Particular Kind Of Unit Vector Tex Latex Stack Exchange

How To Type A Particular Kind Of Unit Vector Tex Latex Stack Exchange

Hat I And Hat J Are Unit Vectors Along X And Y Axes Respectively What Is The Magnitude An Youtube

Hat I And Hat J Are Unit Vectors Along X And Y Axes Respectively What Is The Magnitude An Youtube

Find A Unit Vector Perpendicular To Both The Vectors 4 Hat I Hat J 3 Hat K A N D 2 Hat I Ha Youtube

Find A Unit Vector Perpendicular To Both The Vectors 4 Hat I Hat J 3 Hat K A N D 2 Hat I Ha Youtube

Infinitesimal Element Of Length In The Hat Theta Direction Mathematics Stack Exchange

Infinitesimal Element Of Length In The Hat Theta Direction Mathematics Stack Exchange

Worked Example Finding Unit Vector With Given Direction Video Khan Academy

Worked Example Finding Unit Vector With Given Direction Video Khan Academy

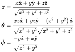
Coordinate Systems Derivation Of Formulas Wikiversity

Coordinate Systems Derivation Of Formulas Wikiversity

Vector In Math Definition Multiplication Examples Video

Vector In Math Definition Multiplication Examples Video

Divergence Of R Hat Over R Square Dell Dot R Unit Vector By R Magnitude Youtube

Divergence Of R Hat Over R Square Dell Dot R Unit Vector By R Magnitude Youtube

Unit Vector Definition Formula Example And Problems

Unit Vector Definition Formula Example And Problems

Why Use J For Imaginary Unit

Why Use J For Imaginary Unit

Making Hats And Other Accents Bold Tex Latex Stack Exchange

Making Hats And Other Accents Bold Tex Latex Stack Exchange

Source : pinterest.com